QOJ.ac

QOJ

Time Limit: 1 s Memory Limit: 32 MB Total points: 100

#12979. Printed-Circuit Boards

统计

The firm of Bytel starts to produce series-parallel electronic circuits. Each such a circuit consists of electronic units, connections between them, and two power connections. A series-parallel circuit may consist of:

a single unit

problem_12979_1.jpg

several smaller series-parallel circuits connected in series

problem_12979_2.jpg

two branching units connecting in parallel several smaller series-parallel circuits.

problem_12979_3.jpg

The circuits are assembled on two-sided printed-circuit boards. The problem is to determine which connections should run on the top and which on the bottom side of the board. For technical reasons as many connections as possible should run on the bottom side but to each unit at least one must come from the top side of the board.

Write a program which:

  • reads the description of a series-parallel circuit,
  • computes the minimal number of connections that must run on the top side of the board,
  • writes the result.

Input

From the standard input one should read the description of a series-parallel circuit. The description is in a recursive form:

  • if the first line of the description contains a capital letter S and a positive integer $n$ ($2 ≤ n ≤ 10\,000$) separated from each other by a single space, then the circuit being described consists of n smaller circuits connected in series; they are described in the successive lines,
  • if the first line of the description contains a capital letter R and a positive integer $n$ ($2 ≤ n ≤ 10\,000$) separated from each other by a single space, then the circuit being described consists of smaller circuits connected in parallel (by means of two branching units); they are described in the successive lines,
  • a line containing only one capital letter X describes a circuit consisting of a single unit only.

The total number of letters X occurring in the description of a circuit does not exceed $10\,000\,000$, and the recursive depth of the description does not exceed $500$.

Output

Your program should write to the standard output. In the first line there should be one integer equal to the minimal number of connections that must run on the top side of the board.

Example

Input

R 3
S 2
X
R 2
S 2
X
X
S 2
X
X
S 3
X
X
X
R 2
X
X

Output

8
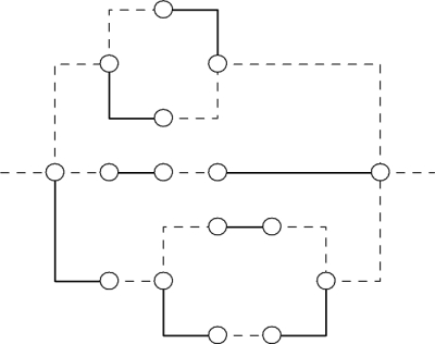
problem_12979_4.jpg

Scheme of the series-parallel circuit for the data from the example. Solid lines indicate the connections running on the top side of the board.

Discussions

About Discussions

The discussion section is only for posting: Editorials, General Discussions (problem-solving strategies, alternative approaches), and Off-topic conversations.

This is NOT for reporting issues! If you want to report bugs or errors, please use the Issues section below.

Open Discussions 0
No discussions in this category.

Issues

About Issues

If you find any issues with the problem (statement, scoring, time/memory limits, test cases, etc.), you may submit an issue here. A problem moderator will review your issue.

Guidelines:

  1. This is not a place to publish discussions, editorials, or requests to debug your code. Issues are only visible to you and problem moderators.
  2. Do not submit duplicated issues. Submitting multiple issues may cause your account to be banned.
  3. Issues must be filed in English or Chinese only.
Active Issues 0
No issues in this category.
Closed/Resolved Issues 0
No issues in this category.