QOJ.ac

QOJ

Time Limit: 1 s Memory Limit: 64 MB Total points: 100

#314. Tree Rotations

统计

Byteasar the gardener is growing a rare tree called Rotatus Informatikus. It has some interesting features:

  • The tree consists of straight branches, bifurcations and leaves. The trunk stemming from the ground is also a branch.
  • Each branch ends with either a bifurcation or a leaf on its top end.
  • Exactly two branches fork out from a bifurcation at the end of a branch - the left branch and the right branch.
  • Each leaf of the tree is labelled with an integer from the range $1 \ldots n$ The labels of leaves are unique.
  • With some gardening work, a so called rotation can be performed on any bifurcation, swapping the left and right branches that fork out of it.

The corona of the tree is the sequence of integers obtained by reading the leaves' labels from left to right.

Byteasar is from the old town of Byteburg and, like all true Byteburgers, praises neatness and order. He wonders how neat can his tree become thanks to appropriate rotations. The neatness of a tree is measured by the number of inversions in its corona, i.e. the number of pairs $(i,j)$, $1 ≤ i < j ≤ n$ such that $a_{i} > a_{j}$ in the corona $a_{1},a_{2},\ldots,a_{n}$.

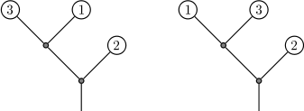
problem_314_1.gif

The original tree (on the left) with corona 3,1,2 has two inversions. A single rotation gives a tree (on the right) with corona 1,3,2, which has only one inversion. Each of these two trees has 5 branches.

Write a program that determines the minimum number of inversions in the corona of Byteasar's tree that can be obtained by rotations.

Input Format

In the first line of the standard input there is a single integer $n$ ($2 ≤ n ≤ 200\,000$) that denotes the number of leaves in Byteasar's tree. Next, the description of the tree follows. The tree is defined recursively:

  • if there is a leaf labelled with $p$ ($1 ≤ p ≤ n$) at the end of the trunk (i.e., the branch from which the tree stems), then the tree's description consists of a single line containing a single integer $p$,
  • if there is a bifurcation at the end of the trunk, then the tree's description consists of three parts:
  • the first line holds a single number $0$,
  • then the description of the left subtree follows (as if the left branch forking out of the bifurcation was its trunk),
  • and finally the description of the right subtree follows (as if the right branch forking out of the bifurcation was its trunk).

In tests worth at least 30% of the points it additionally holds that $n ≤ 5\,000$.

Output Format

In the first and only line of the standard output a single integer is to be printed: the minimum number of inversions in the corona of the input tree that can be obtained by a sequence of rotations.

Example

Input

3
0
0
3
1
2

Output

1

Figure 1 illustrates the tree given in the example.

Discussions

About Discussions

The discussion section is only for posting: Editorials, General Discussions (problem-solving strategies, alternative approaches), and Off-topic conversations.

This is NOT for reporting issues! If you want to report bugs or errors, please use the Issues section below.

Open Discussions 0
No discussions in this category.

Issues

About Issues

If you find any issues with the problem (statement, scoring, time/memory limits, test cases, etc.), you may submit an issue here. A problem moderator will review your issue.

Guidelines:

  1. This is not a place to publish discussions, editorials, or requests to debug your code. Issues are only visible to you and problem moderators.
  2. Do not submit duplicated issues. Submitting multiple issues may cause your account to be banned.
  3. Issues must be filed in English or Chinese only.
Active Issues 0
No issues in this category.
Closed/Resolved Issues 0
No issues in this category.